Содержимое: 21v-IDZ16.1.pdf (76.42 KB)
Загружен: 10.07.2025

Положительные отзывы: 0
Отрицательные отзывы: 0

Продано: 1
Возвраты: 0

90 руб.
1. По заданному оригиналу найти изображение по Лапласу:
Значения параметров α, ω, Mi (i = 0, 1, 2, 3), A, B, C, D, E, F, G приведены в табл. 16.1
1.21. α = 0, ω = 3, M0 = 0, M1 = 0, M2 = 2, M3 = 0, A = 1, B = −2, C = 0, D = 1, E = 0, F = −1, G = 2

2. Найти изображение функции
Функции f1(t), f2(t) и числовые значения параметров t1, t2 приведены в табл. 16.2.
2.21. f1(t) = cost, f2(t) = sint, t1 = π/2, t2 = π

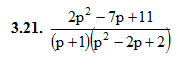
3. По заданному изображению
найти оригинал. Значения коэффициентов A, B, C, a, b, c приведены в табл. 16.3.
3.21. A = 2, B = −7, C = 11, a = 1, b = −2, c = 2.
Подробное решение. Оформлено в PDF-формате для удобства просмотра решений ИДЗ на смартфонах и ПК.
В MS Word (doc-формате) высылается дополнительно.
Отзывов от покупателей не поступало